歡迎訪問北京中天恒遠環保設備有限公司官網!
咨詢熱線:010-8022-5898 手機:18610094262
-
中國印染廢水處理現狀及未來走向預測(圖文) 2018-01-10 [行業資訊] 熱度:868

(一)供應端 :環保推動產能退出,行業整合趨勢明確 1、印染高污染行業,環保政策推動產能出清 紡織印染行業的高污染特性素來備受環保方面的關注。在紡織原材料加工為紡織品的生產過程中,會產生超過 8000 種對環境帶...
-
紫坪鋪水庫可能會毀了都江堰么?(圖文) 2018-01-10 [行業資訊] 熱度:628

在北京聽說,岷江上修建的水庫將毀了都江堰。一進四川,就在想到底有沒有這件事,有,又是怎么個毀法? 車行在秋風瑟瑟的松潘草地上,遠處不時有低矮的山丘掠過。看看海拔表,2000多米。忽然,在車的左前方,遠遠地望...
-
回顧東方園林轉型已兩年,市場疑慮化解了嗎?(圖文) 2018-01-10 [行業資訊] 熱度:321

東方園林11月14日午間公告,公司近日收到北京市平谷區水務局發來的《中標通知書》,確認公司為平谷區2017年農村治污工程(第一批)PPP項目(第一標段)的中標聯合體。 公告顯示,該項目牽頭人是北京東方園林環境股份有限...
-
中國環境污染形勢嚴峻 2018年環保攻堅戰如何打?(圖文) 2018-01-10 [行業資訊] 熱度:219

2018年,是舉國上下貫徹落實十九大精神的開局之年,是實施十三五規劃承上啟下的關鍵一年。中國經濟由高速增長轉向高質量發展,每個產業、企業都應當朝著這個方向堅定前行。作為我國綠色發展的物質支撐和綠色經濟的組...
-
羥基乙叉二膦酸HEDP 2018-01-10 [行業資訊] 熱度:255

CAS No. 2809-21-4 別名:羥基亞乙基二膦酸、HEDPA、(1-羥基亞乙基)二膦酸、1-羥基亞乙基-1,1-二磷酸 分子式 C2H8O7P2 相對分子質量:206.02 結構式 第一,性能與用途 HEDP是一種有機膦酸類阻垢緩蝕劑,能與鐵、銅、...
-
聚環氧琥珀酸(鈉)PESA 2018-01-10 [行業資訊] 熱度:256

分子式:HO(C4H2O5M2)nH 相對分子質量:400-1500 CAS No.:51274-37-4;109578-44-1 結構式 第一,性能與用途 PESA是一種無磷、非氮的綠色環保型水溶性聚合物。PESA對水中的碳酸鈣、硫酸鈣、硫酸鋇、硫酸鍶、氟化鈣和...
-
2-膦酸丁烷-1,2,4-三羧酸PBTCA 2018-01-10 [行業資訊] 熱度:234

CAS No. 37971-36-1 別名:1,2,4-三羧酸-2-膦酸基丁烷;PBTC;2-膦酰基-1,2,4-丁烷三羧酸;膦酰基丁烷三羧酸; 分子式 C7H11O9P 相對分子質量:270.13 結構式 第一,性能與用途 PBTCA含磷量低,由于它具有膦酸和羧酸的結...
-
銅緩蝕劑甲基苯駢三氮唑TTA 2018-01-10 [行業資訊] 熱度:294

別名:甲基苯并三氮唑、甲苯基三氮唑、甲苯基三唑 CAS No. 29385-43-1 分子式:C7H7N3 相對分子質量:133.16 第一,性能與用途 銅緩蝕劑甲基苯駢三氮唑可以作為有色金屬銅和銅合金的緩蝕劑,對黑色金屬也有緩蝕作用...
-
TH-0100反滲透阻垢劑、分散劑 2018-01-10 [行業資訊] 熱度:247

第一,性能與用途 反滲透阻垢劑、分散劑TH-0100是一種高效阻垢劑,適用于反滲透(RO)系統及納濾(NF)和超濾(UF)系統中,可防止膜面結垢,能提高產水量和產水質量,降低運行費用。 反滲透阻垢劑、分散劑TH-0100特點: (...
-
氨基三甲叉膦酸ATMP 2018-01-10 [行業資訊] 熱度:234

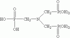
CAS No. 6419-19-8 別名:氨基三亞甲基膦酸、ATMPA、次氮基三亞甲基三膦酸、次氮基三亞甲基磷酸 分子式 N(CH2PO3H2)3 相對分子質量:299.05 結構式 第一,性能與用途: 氨基三甲叉膦酸具有良好的螯合、低限抑制及晶...
-
二氯異氰尿酸鈉 2018-01-10 [行業資訊] 熱度:311

第一,產品性能 二氯異氰尿酸鈉易溶于水,具有高效、快速、廣譜、安全等特點,有極強的殺生作用,在20ppm時,殺菌率達到99%。 二氯異氰尿酸鈉性能穩定,干燥條件下保存半年內有效氯下降不超過1%。在120℃以下存放不...
-
2-羥基膦酸基乙酸 HPA 2018-01-10 [行業資訊] 熱度:370

CAS No. 23783-26-8 分子式 C2H5O6P 相對分子質量:156 結構式 第一,性能與用途: HPA化學穩定性好,不易水解,不易被酸堿所破壞,使用安全可靠,無毒無污染,HPA能提高鋅的溶解度,具有極強的緩蝕作用,HPA緩蝕性...
-
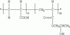
丙烯酸-丙烯酸羥丙酯共聚物 T-225 2018-01-10 [行業資訊] 熱度:216

別名:AA/HPA共聚物 CAS No. 55719-33-0 結構式 第一,性能與用途 T-225為丙烯酸和丙烯酸羥丙酯共聚物,它對碳酸鈣、硫酸鈣特別是磷酸鈣垢的形成和沉積有良好的抑制作用,對三氧化二鐵、污泥、粘土和油垢也有良好的...
-
羧酸-磺酸鹽共聚物 TH-2000 2018-01-10 [行業資訊] 熱度:399

第一,性能與用途 羧酸-磺酸鹽共聚物TH-2000為丙烯酸-磺酸鹽共聚物,是一種高效能阻垢分散劑,對于水中的磷酸鈣垢、碳酸鈣垢等成垢鹽類和無機礦物質具有良好的分散作用。羧酸-磺酸鹽共聚物TH-2000在以磷酸鹽為主的水...
-
減水劑 2018-01-10 [行業資訊] 熱度:389

第一,性能與用途 減水劑主要成分為陰離子型聚合物,減水劑能夠吸附在各種微小顆粒表面并產生靜電斥力使之分散,避免沉降、返粗。減水劑廣泛用做造紙涂料及建筑涂料的分散劑、混凝土緩凝劑、減水劑以及紡織印染等行...
- 首頁
- 上一頁
- 472
- 473
- 474
- 475
- 476
- 477
- 478
- 479
- 480
- 481
- 482
- 下一頁
- 末頁
- 共 526頁7888條
服務地區:北京;天津;上海;重慶;河北;河南;云南;遼寧;黑龍江;湖南;安徽;山東;江蘇;浙江;江西;湖北;廣西;甘肅;山西;陜西;吉林;福建;貴州;廣東;青海;四川;寧夏;海南
服務地區:哈爾濱;長春;沈陽;南京;濟南;合肥;石家莊;鄭州;武漢;長沙;南昌;西安;太原;成都;西寧;海口;廣州;貴陽;杭州;福州;臺北;蘭州;昆明;銀川;烏魯木齊;拉薩;南寧
補充分類:電廠;工業;游泳池;系統;工程;工程師;藥劑;過濾器;絮凝劑;公司;廠家;生產廠家;